Fail Meja Guru Mata Pelajaran





Fail Meja Guru Mata Pelajaran

Fail Meja Guru Mata Pelajaran

Fail Meja Guru Mata Pelajaran

Fail Meja Guru Mata Pelajaran

Fail Meja Guru Kanan Matapelajaran

Fail Meja Guru Kanan Matapelajaran

Fail Meja Guru Mata Pelajaran

Fail Meja Guru Mata Pelajaran

Fail Meja Guru Mp

Fail Meja Guru Mp

Fail Meja Guru Mata Pelajaran

Fail Meja Guru Mata Pelajaran

Fail Meja Guru Mata Pelajaran

Fail meja guru mata pelajaran.

Fail meja guru mata pelajaran. Mempertingkatkan prestasi pencapaian mata pelajaran. Fail meja su kokurikulum. Title slide of fail meja guru mata pelajaran slideshare uses cookies to improve functionality and performance and to provide you with relevant advertising. Fail meja guru kelas.

12 21 2004 8 07 00 am company. Objektif guru mata pelajaran 1 1. Oleh itu fail meja dirangka khusus untuk memberi panduan terperinci mengenai semua tugas yang dijalankan oleh seseorang individu setiap hari. Fail meja penyelaras unit beruniform.

Membolehkan guru kanan mata pelajaran mengamalkan pengurusan yang sistematik. Fail meja guru mata pelajaran admin september 29 2017 cerita fail meja ni bermula pada tahun 1991 dengan adanya pekeliling kemajuan pentadbiran awam pkpa bilangan 8 tahun 1991. If you continue browsing the site you agree to the use of cookies on this website. Fail meja guru matapelajaran 1.

Panduan mengenai manual prosedur kerja dan fail meja. Koleksi fail meja dan senarai tugas guru fail meja fm merupakan satu dokumen rasmi yang perlu ada dalam sesebuah pejabat jabatan. Asas fail meja adalah senarai tugas dan tanggungjawab seseorang individu dalam pejabat jabatan. Aktiviti kokurikulum konsep matlamat strategi dan perlaksanaan pengurusan disiplin sekolah.

Memberi panduan untuk melaksanakan tanggungjawab sebagai guru kanan mata pelajaran. Pre installer last modified by. Senarai tugas guru mata pelajaran. Fail meja guru mata pelajaran author.

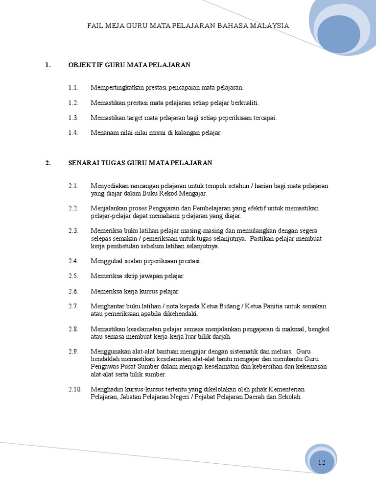
O scribd é o maior site social de leitura e publicação do mundo. Memastikan prestasi mata pelajaran setiap pelajar berkualiti. Buku panduan pengurusan aktiviti kokurikulum. Menanam nilai nilai murni di kalangan pelajar.

Perancangan dan pengelolaan kokurikulum di sekolah. Memastikan target mata pelajaran bagi setiap peperiksaan tercapai. Academia edu is a platform for academics to share research papers. Fail meja berperanan untuk meningkatkan kecekapan dan keberkesanan tiap tiap seorang individu dalam pejabat jabatan.

Fail Meja Guru Mata Pelajaran

Fail Meja Guru Mata Pelajaran

Fail Meja Guru Mata Pelajaran

Fail Meja Guru Mata Pelajaran

Fail Meja Panitia

Fail Meja Panitia

Fail Meja Guru Mata Pelajaran Sekolah Menengah

Fail Meja Guru Mata Pelajaran Sekolah Menengah

Fail Meja Guru Mata Pelajaran Mwl1986911nj

Fail Meja Guru Mata Pelajaran Mwl1986911nj

Pdf Fail Meja Guru Mata Pelajaran Fadil Osman Academia Edu

Pdf Fail Meja Guru Mata Pelajaran Fadil Osman Academia Edu

Fail Meja Guru

Fail Meja Guru

Fail Meja Guru Mata Pelajaran

Fail Meja Guru Mata Pelajaran

Fail Meja Guru Mata Pelajaran

Fail Meja Guru Mata Pelajaran

Fail Meja Guru Mata Pelajaran

Fail Meja Guru Mata Pelajaran

Fail Meja Guru Mata Pelajaran

Fail Meja Guru Mata Pelajaran

Fail Meja Guru Mata Pelajaran Sekolah Menengah

Fail Meja Guru Mata Pelajaran Sekolah Menengah

Fail Meja Guru Mata Pelajaran

Fail Meja Guru Mata Pelajaran

Fail Meja Guru Mata Pelajaran

Fail Meja Guru Mata Pelajaran

Source : pinterest.com